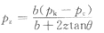
4 换填垫层 4.1 一般规定 4.1.1 换填垫层适用于浅层软弱土层或不均匀土层的地基处理。 4.1.2 应根据建筑体型、结构特点、荷载性质、场地土质条件、施工机械设备及填料性质和来源等综合分析后,进行换填垫层的设计,并选择施工方法。 4.1.3 对于工程量较大的换填垫层,应按所选用的施工机械、换填材料及场地的土质条件进行现场试验,确定换填垫层压实效果和施工质量控制标准。 4.1.4 换填垫层的厚度应根据置换软弱土的深度以及下卧土层的承载力确定,厚度宜为0.5m~3.0m。 4.2 设 计 4.2.1 垫层材料的选用应符合下列要求: 1 砂石。宜选用碎石、卵石、角砾、圆砾、砾砂、粗砂、中砂或石屑,并应级配良好,不含植物残体、垃圾等杂质。当使用粉细砂或石粉时,应掺入不少于总重量30%的碎石或卵石。砂石的最大粒径不宜大于50mm。对湿陷性黄土或膨胀土地基,不得选用砂石等透水性材料。 2 粉质黏土。土料中有机质含量不得超过5%,且不得含有冻土或膨胀土。当含有碎石时,其最大粒径不宜大于50mm。用于湿陷性黄土或膨胀土地基的粉质黏土垫层,土料中不得夹有砖、瓦或石块等。 3 灰土。体积配合比宜为2:8或3:7。石灰宜选用新鲜的消石灰,其最大粒径不得大于5mm。土料宜选用粉质黏土,不宜使用块状黏土,且不得含有松软杂质,土料应过筛且最大粒径不得大于15mm。 4 粉煤灰。选用的粉煤灰应满足相关标准对腐蚀性和放射性的要求。粉煤灰垫层上宜覆土0.3m~0.5m。粉煤灰垫层中采用掺加剂时,应通过试验确定其性能及适用条件。粉煤灰垫层中的金属构件、管网应采取防腐措施。大量填筑粉煤灰时,应经场地地下水和土壤环境的不良影响评价合格后,方可使用。 5 矿渣。宜选用分级矿渣、混合矿渣及原状矿渣等高炉重矿渣。矿渣的松散重度不应小于11kN/m3,有机质及含泥总量不得超过5%。垫层设计、施工前应对所选用的矿渣进行试验,确认性能稳定并满足腐蚀性和放射性安全要求。对易受酸、碱影响的基础或地下管网不得采用矿渣垫层。大量填筑矿渣时,应经场地地下水和土壤环境的不良影响评价合格后,方可使用。 6 其他工业废渣。在有充分依据或成功经验时,可采用质地坚硬、性能稳定、透水性强、无腐蚀性和无放射性危害的其他工业废渣材料,但应经过现场试验证明其经济技术效果良好且施工措施完善后方可使用。 7 土工合成材料加筋垫层所选用土工合成材料的品种与性能及填料,应根据工程特性和地基土质条件,按照现行国家标准《土工合成材料应用技术规范》GB 50290的要求,通过设计计算并进行现场试验后确定。土工合成材料应采用抗拉强度较高、耐久性好、抗腐蚀的土工带、土工格栅、土工格室、土工垫或土工织物等土工合成材料。垫层填料宜用碎石、角砾、砾砂、粗砂、中砂等材料,且不宜含氯化钙、碳酸钠、硫化物等化学物质。当工程要求垫层具有排水功能时,垫层材料应具有良好的透水性。在软土地基上使用加筋垫层时,应保证建筑物稳定并满足允许变形的要求。 4.2.2 垫层厚度的确定应符合下列规定: 1 应根据需置换软弱土(层)的深度或下卧土层的承载力确定,并应符合下式要求: pz+pcz≤ ƒaz (4.2.2-1) 式中:pz——相应于作用的标准组合时,垫层底面处的附加压力值(kPa); pcz——垫层底面处土的自重压力值(kPa); ƒaz——垫层底面处经深度修正后的地基承载力特征值(kPa)。 2 垫层底面处的附加压力值pz可分别按式(4.2.2-2)和式(4.2.2-3)计算: 1)条形基础 (4.2.2-2) 2)矩形基础 (4.2.2-3) 式中:b——矩形基础或条形基础底面的宽度(m); l——矩形基础底面的长度(m); pk——相应于作用的标准组合时,基础底面处的平均压力值(kPa); Pc——基础底面处土的自重压力值(kPa); z——基础底面下垫层的厚度(m); θ——垫层(材料)的压力扩散角( °),宜通过试验确定。无试验资料时,可按表4.2.2采用。 表4.2.2 土和砂石材料压力扩散角θ( °) 注:1 当z/b<0.25时,除灰土取θ=28°外,其他材料均取θ=0°,必要时宜由试验确定; 2 当0.25<z/b<0.5时,θ值可以内插; 3 土工合成材料加筋垫层其压力扩散角宜由现场静载荷试验确定。 4.2.3 垫层底面的宽度应符合下列规定: 1 垫层底面宽度应满足基础底面应力扩散的要求,可按下式确定: b'≥b+2ztanθ (4.2.3) 式中:b'——垫层底面宽度(m); θ——压力扩散角,按本规范表4.2.2取值;当z/b<0.25时,按表4.2.2中z/b=0.25取值。 2 垫层顶面每边超出基础底边缘不应小于300mm,且从垫层底面两侧向上,按当地基坑开挖的经验及要求放坡。 3 整片垫层底面的宽度可根据施工的要求适当加宽。 4.2.4 垫层的压实标准可按表4.2.4选用。矿渣垫层的压实系数可根据满足承载力设计要求的试验结果,按最后两遍压实的压陷差确定。 表4.2.4 各种垫层的压实标准 注:1 压实系数λc为土的控制干密度ρd与最大干密度ρdmax的比值;土的最大干密度宜采用击实试验确定;碎石或卵石的最大干密度可取2.1t/m3~2.2t/m3; 2 表中压实系数λc系使用轻型击实试验测定土的最大干密度ρdmax时给出的压实控制标准,采用重型击实试验时,对粉质黏土、灰土、粉煤灰及其他材料压实标准应为压实系数λc≥0.94。 4.2.5 换填垫层的承载力宜通过现场静载荷试验确定。 4.2.6 对于垫层下存在软弱下卧层的建筑,在进行地基变形计算时应考虑邻近建筑物基础荷载对软弱下卧层顶面应力叠加的影响。当超出原地面标高的垫层或换填材料的重度高于天然土层重度时,宜及时换填,并应考虑其附加荷载的不利影响。 4.2.7 垫层地基的变形由垫层自身变形和下卧层变形组成。换层垫层在满足本规范第4.2.2条~4.2.4条的条件下,垫层地基的变形可仅考虑其下卧层的变形。对地基沉降有严格限制的建筑,应计算垫层自身的变形。垫层下卧层的变形量可按现行国家标准《建筑地基基础设计规范》GB 50007的规定进行计算。 4.2.8 加筋土垫层所选用的土工合成材料尚应进行材料强度验算: Tp≤Ta(4.2.8) 式中:Ta——土工合成材料在允许延伸率下的抗拉强度(kN/m); Tp——相应于作用的标准组合时,单位宽度的土工合成材料的最大拉力(kN/m)。 4.2.9 加筋土垫层的加筋体设置应符合下列规定: 1 一层加筋时,可设置在垫层的中部; 2 多层加筋时,首层筋材距垫层顶面的距离宜取30%垫层厚度,筋材层间距宜取30%~50%的垫层厚度,且不应小于200mm。 3 加筋线密度宜为0.15~0.35。无经验时,单层加筋宜取高值,多层加筋宜取低值。垫层的边缘应有足够的锚固长度。 4.3 施 工 4.3.1 垫层施工应根据不同的换填材料选择施工机械。粉质黏土、灰土垫层宜采用平碾、振动碾或羊足碾,以及蛙式夯、柴油夯。砂石垫层等宜用振动碾。粉煤灰垫层宜采用平碾、振动碾、平板振动器、蛙式夯。矿渣垫层宜采用平板振动器或平碾,也可采用振动碾。 4.3.2 垫层的施工方法、分层铺填厚度、每层压实遍数宜通过现场的试验确定。除接触下卧软土层的垫层底部应根据施工机械设备及下卧层土质条件确定厚度外,其他垫层的分层铺填厚度宜为200mm~300mm。为保证分层压实质量,应控制机械碾压速度。 4.3.3 粉质黏土和灰土垫层土料的施工含水量宜控制在ωop±2%的范围内,粉煤灰垫层的施工含水量宜控制在ωop±4%的范围内。最优含水量ωop可通过击实试验确定,也可按当地经验选取。 4.3.4 当垫层底部存在古井、古墓、洞穴、旧基础、暗塘时,应根据建筑物对不均匀沉降的控制要求予以处理,并经检验合格后,方可铺填垫层。 4.3.5 基坑开挖时应避免坑底土层受扰动,可保留180mm~220mm厚的土层暂不挖去,待铺填垫层前再由人工挖至设计标高。严禁扰动垫层下的软弱土层,应防止软弱垫层被践踏、受冻或受水浸泡。在碎石或卵石垫层底部宜设置厚度为150mm~300mm的砂垫层或铺一层土工织物,并应防止基坑边坡塌土混入垫层中。 4.3.6 换填垫层施工时,应采取基坑排水措施。除砂垫层宜采用水撼法施工外,其余垫层施工均不得在浸水条件下进行。工程需要时应采取降低地下水位的措施。 4.3.7 垫层底面宜设在同一标高上,如深度不同,坑底土层应挖成阶梯或斜坡搭接,并按先深后浅的顺序进行垫层施工,搭接处应夯压密实。 4.3.8 粉质黏土、灰土垫层及粉煤灰垫层施工,应符合下列规定: 1 粉质黏土及灰土垫层分段施工时,不得在柱基、墙角及承重窗间墙下接缝; 2 垫层上下两层的缝距不得小于500mm,且接缝处应夯压密实; 3 灰土拌合均匀后,应当日铺填夯压;灰土夯压密实后,3d内不得受水浸泡; 4 粉煤灰垫层铺填后,宜当日压实,每层验收后应及时铺填上层或封层,并应禁止车辆碾压通行; 5 垫层施工竣工验收合格后,应及时进行基础施工与基坑回填。 4.3.9 土工合成材料施工,应符合下列要求: 1 下铺地基层面应平整; 2 土工合成材料铺设顺序应先纵向后横向,且应把土工合成材料张拉平整、绷紧,严禁有皱折; 3 土工合成材料的连接宜采用搭接法、缝接法或胶接法,接缝强度不应低于原材料抗拉强度,端部应采用有效方法固定,防止筋材拉出; 4 应避免土工合成材料暴晒或裸露,阳光暴晒时间不应大于8h。 4.4 质量检验 4.4.1 对粉质黏土、灰土、砂石、粉煤灰垫层的施工质量可选用环刀取样、静力触探、轻型动力触探或标准贯入试验等方法进行检验;对碎石、矿渣垫层的施工质量可采用重型动力触探试验等进行检验。压实系数可采用灌砂法、灌水法或其他方法进行检验。 4.4.2 换填垫层的施工质量检验应分层进行,并应在每层的压实系数符合设计要求后铺填上层。 4.4.3 采用环刀法检验垫层的施工质量时,取样点应选择位于每层垫层厚度的2/3深度处。检验点数量,条形基础下垫层每10m~20m不应少于1个点,独立柱基、单个基础下垫层不应少于1个点,其他基础下垫层每50m2~100m2不应少于1个点。 采用标准贯入试验或动力触探法检验垫层的施工质量时,每分层平面上检验点的间距不应大于4m。 4.4.4 竣工验收应采用静载荷试验检验垫层承载力,且每个单体工程不宜少于3个点;对于大型工程应按单体工程的数量或工程划分的面积确定检验点数。 4.4.5 加筋垫层中土工合成材料的检验应符合下列要求: 1 土工合成材料质量应符合设计要求,外观无破损、无老化、无污染; 2 土工合成材料应可张拉、无皱折、紧贴下承层,锚固端应锚固牢靠; 3 上下层土工合成材料搭接缝应交替错开,搭接强度应满足设计要求。